Free Access

Fig. 7

thumbnail

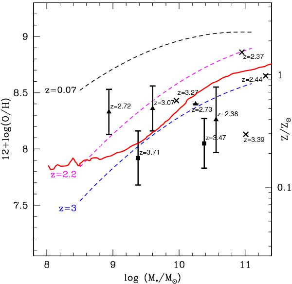
Stellar mass-stellar metallicity relation for the FORS galaxies at z ~ 3.3 discussed in this work (black squares). The black triangles represent the stellar metallicity for the lensed galaxies from the literature (see text), and the black crosses are the stellar metallicity for the galaxies at z ~ 3 taken by Mehelert et al. (2006). For comparison, we draw the mass-metallicity relations for the gas component: the black line is the MZR obtained by Tremonti et al. (2004) at z = 0.07, the magenta line was found by Erb et al. (2006) at z = 2,2, and the blue dotted line shows the relation from the LSD and AMAZE inferred by Mannucci et al. (2009) at z ~ 3.5. The red line is stellar mass-stellar metallicity relation found by Panter et al. (2008) in local universe.

Current usage metrics show cumulative count of Article Views (full-text article views including HTML views, PDF and ePub downloads, according to the available data) and Abstracts Views on Vision4Press platform.

Data correspond to usage on the plateform after 2015. The current usage metrics is available 48-96 hours after online publication and is updated daily on week days.

Initial download of the metrics may take a while.