Free Access

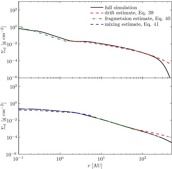
Fig. 9

thumbnail

Comparison between simulation results and the simple estimates derived in Sect. 5.2 after 3 Myr of dust evolution. The upper panel is for a turbulence value of αt = 10-3, the lower panel for αt = 10-2. The estimates have been calculated using the dust accretion rate of the simulations at 50 AU which are 1.6 × 10-6 and /yr, respectively. The division between the different fit formulas is described in Sect. 5.2.

Current usage metrics show cumulative count of Article Views (full-text article views including HTML views, PDF and ePub downloads, according to the available data) and Abstracts Views on Vision4Press platform.

Data correspond to usage on the plateform after 2015. The current usage metrics is available 48-96 hours after online publication and is updated daily on week days.

Initial download of the metrics may take a while.