Free Access

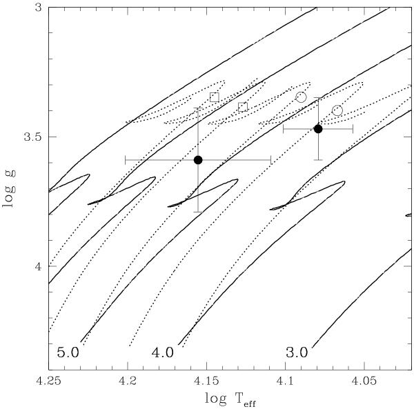
Fig. 1

thumbnail

Estimated positions of HD 181231 (log Teff = 4.155) and HD 175869 (log Teff = 4.079) on the log Teff − log g plane (black dots) with evolutionary tracks of M/M = 3,4,5,6,7 with a standard chemical composition of (X,Z) = (0.07, 0.02). Dotted lines are the evolutionary tracks of M/M = 4,4.5,5,5.5,6 with a convective-core overshooting of 0.35Hp. There is no rotation included in these tracks. Open squares and circles indicate the positions of models for HD 181231 and HD 175869, respectively (see below).

Current usage metrics show cumulative count of Article Views (full-text article views including HTML views, PDF and ePub downloads, according to the available data) and Abstracts Views on Vision4Press platform.

Data correspond to usage on the plateform after 2015. The current usage metrics is available 48-96 hours after online publication and is updated daily on week days.

Initial download of the metrics may take a while.