Free Access

Fig. 4

thumbnail

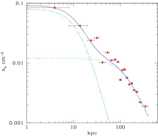
Deprojected electron density profile (red points) and double beta model best fit show in solid blue line. The two individual β model components are shown in dashed lines.

Current usage metrics show cumulative count of Article Views (full-text article views including HTML views, PDF and ePub downloads, according to the available data) and Abstracts Views on Vision4Press platform.

Data correspond to usage on the plateform after 2015. The current usage metrics is available 48-96 hours after online publication and is updated daily on week days.

Initial download of the metrics may take a while.