Free Access

Fig. 4

thumbnail

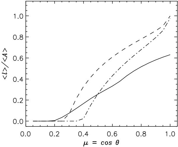
Fraction of magnetized surface producing BPs. The three curves correspond to the predictions of our toy-model for the three solutions portrayed in Fig. 2. Note that magnetic structures no longer render BPs as one approaches the limb.

Current usage metrics show cumulative count of Article Views (full-text article views including HTML views, PDF and ePub downloads, according to the available data) and Abstracts Views on Vision4Press platform.

Data correspond to usage on the plateform after 2015. The current usage metrics is available 48-96 hours after online publication and is updated daily on week days.

Initial download of the metrics may take a while.