Free Access

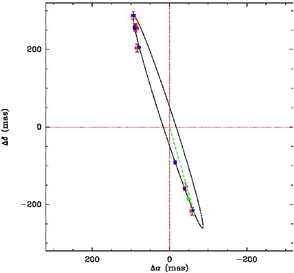
Fig. 3

thumbnail

Best fit for GJ3305B orbit projected on the sky in black, corresponding to a period of 21.5 yr, and eccentricity of 0.06, a semi-major axis of 8.5 AU, and an inclination of 93.2°. Observational astrometric points are in blue and the periastron is highlighted in green.

Current usage metrics show cumulative count of Article Views (full-text article views including HTML views, PDF and ePub downloads, according to the available data) and Abstracts Views on Vision4Press platform.

Data correspond to usage on the plateform after 2015. The current usage metrics is available 48-96 hours after online publication and is updated daily on week days.

Initial download of the metrics may take a while.