Free Access

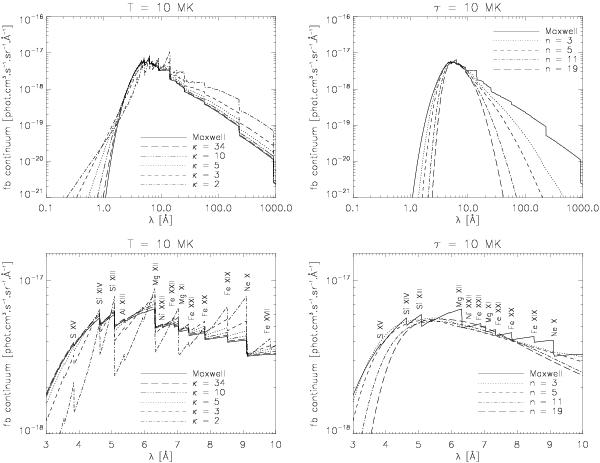
Fig. 5

thumbnail

Free-bound spectra for κ-distributions (left column) and n-distributions (right column). The spectra must be multiplied by the nenH factor to obtain the actual emissivity. Two wavelength ranges are shown: λ = 0.1–1000 Å, same as in Fig. 2, to illustrate the general behavior (top row), and a close-up near the peak, λ = 3–10 Å (bottom row) to show the dependence of individual ionization edges on the shape of the distribution.

This figure is made of several images, please see below:

Current usage metrics show cumulative count of Article Views (full-text article views including HTML views, PDF and ePub downloads, according to the available data) and Abstracts Views on Vision4Press platform.

Data correspond to usage on the plateform after 2015. The current usage metrics is available 48-96 hours after online publication and is updated daily on week days.

Initial download of the metrics may take a while.