Free Access

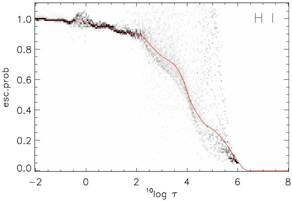
Fig. 6

thumbnail

Probability density function of the empirical escape probability as function of approximate optical depth at Lyman-α line center and the adopted fit (red). Only points with a cooling above 5 × 109 erg s-1 g-1 are included and the startup phase of the simulation (first 1000 s) has been excluded.

Current usage metrics show cumulative count of Article Views (full-text article views including HTML views, PDF and ePub downloads, according to the available data) and Abstracts Views on Vision4Press platform.

Data correspond to usage on the plateform after 2015. The current usage metrics is available 48-96 hours after online publication and is updated daily on week days.

Initial download of the metrics may take a while.