Free Access

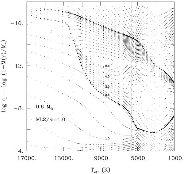
Fig. 2

thumbnail

Structure of the envelope of our representative evolving 0.6 M DA white dwarf. The ordinate gives the fractional mass depth in logarithmic units. The small dots define “isocontours” of opacity, and some are labelled by their value of log κ. The small filled circles indicate the boundaries of the superficial convection zone. The vertical dashed lines indicate the blue and red edges obtained with our TDC treatment with ML2/α = 1.0.

Current usage metrics show cumulative count of Article Views (full-text article views including HTML views, PDF and ePub downloads, according to the available data) and Abstracts Views on Vision4Press platform.

Data correspond to usage on the plateform after 2015. The current usage metrics is available 48-96 hours after online publication and is updated daily on week days.

Initial download of the metrics may take a while.