Free Access

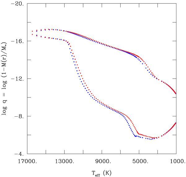
Fig. 5

thumbnail

Comparison of the profiles of the superficial HI convection zone from two 0.6 M evolutionary sequences having the same parameters, except for the way the atmospheric layers are handled. The blue dots depict the expected zone for models using standard grey atmosphere structures, while the red dots correspond to the models with the inclusion of convective feedback on the atmospheric structure.

Current usage metrics show cumulative count of Article Views (full-text article views including HTML views, PDF and ePub downloads, according to the available data) and Abstracts Views on Vision4Press platform.

Data correspond to usage on the plateform after 2015. The current usage metrics is available 48-96 hours after online publication and is updated daily on week days.

Initial download of the metrics may take a while.