Free Access
Fig. A.3

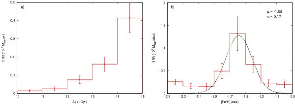
a) The SFH and b) CEH obtained for NGC 1904 from photometric information in the B,V and I filters. A Gaussian fit to the MDF is also shown as a black, dotted line, with parameters given in the plot.
This figure is made of several images, please see below:
Current usage metrics show cumulative count of Article Views (full-text article views including HTML views, PDF and ePub downloads, according to the available data) and Abstracts Views on Vision4Press platform.
Data correspond to usage on the plateform after 2015. The current usage metrics is available 48-96 hours after online publication and is updated daily on week days.
Initial download of the metrics may take a while.