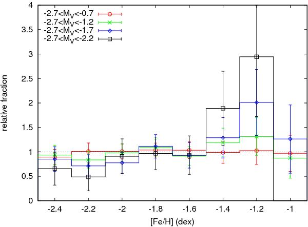
Fig. 7

The relative fractions of different metallicities present on the RGB at different photometric depths, with respect to an MDF going down to MV = −3.2 (V = 19.5) on the RGB. The relative fraction indicates by which factor a population is incorrectly sampled in the CMD. For comparison the level of the HB is VHB = 20.13 (MV = 0.43).
Current usage metrics show cumulative count of Article Views (full-text article views including HTML views, PDF and ePub downloads, according to the available data) and Abstracts Views on Vision4Press platform.
Data correspond to usage on the plateform after 2015. The current usage metrics is available 48-96 hours after online publication and is updated daily on week days.
Initial download of the metrics may take a while.