Free Access
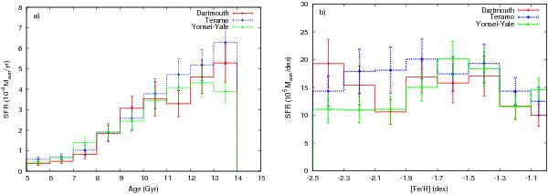
Fig. 9

The a) SFH and b) CEH of the centre of Sculptor, determined using three different isochrone sets. The obtained solution is shown for the Darthmouth Stellar Evolution Database as the (red) solid line, for the BaSTI/Teramo isochrones as the (blue) dotted line and for the Yonsei-Yale isochrones as the (green) dashed line.
This figure is made of several images, please see below:
Current usage metrics show cumulative count of Article Views (full-text article views including HTML views, PDF and ePub downloads, according to the available data) and Abstracts Views on Vision4Press platform.
Data correspond to usage on the plateform after 2015. The current usage metrics is available 48-96 hours after online publication and is updated daily on week days.
Initial download of the metrics may take a while.