Free Access

Fig. 11

thumbnail

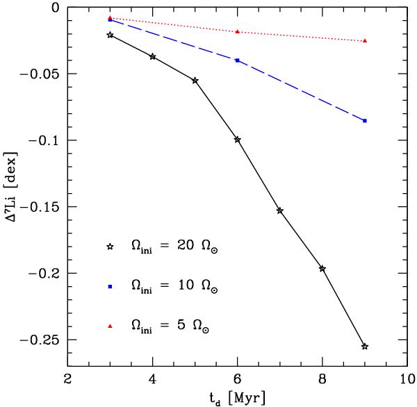
Surface lithium depletion on the ZAMS for 1 M models computed with different disc lifetimes (td) and initial velocities (Ωini). Δ7Li is defined as the difference between the surface lithium abundance on the ZAMS of rotating models and the non-rotating one.

Current usage metrics show cumulative count of Article Views (full-text article views including HTML views, PDF and ePub downloads, according to the available data) and Abstracts Views on Vision4Press platform.

Data correspond to usage on the plateform after 2015. The current usage metrics is available 48-96 hours after online publication and is updated daily on week days.

Initial download of the metrics may take a while.