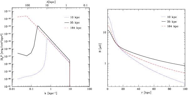
Fig. 10

The magnetic field power spectra (left panel) and radial profiles (right panel) for the models corresponding to the three values of Λmax = 10, 35, and 164 kpc are shown as dotted, continuous, and dashed lines, respectively. The model with Λmax = 35 kpc provides the best description of the observed RM structure function, see text.
Current usage metrics show cumulative count of Article Views (full-text article views including HTML views, PDF and ePub downloads, according to the available data) and Abstracts Views on Vision4Press platform.
Data correspond to usage on the plateform after 2015. The current usage metrics is available 48-96 hours after online publication and is updated daily on week days.
Initial download of the metrics may take a while.