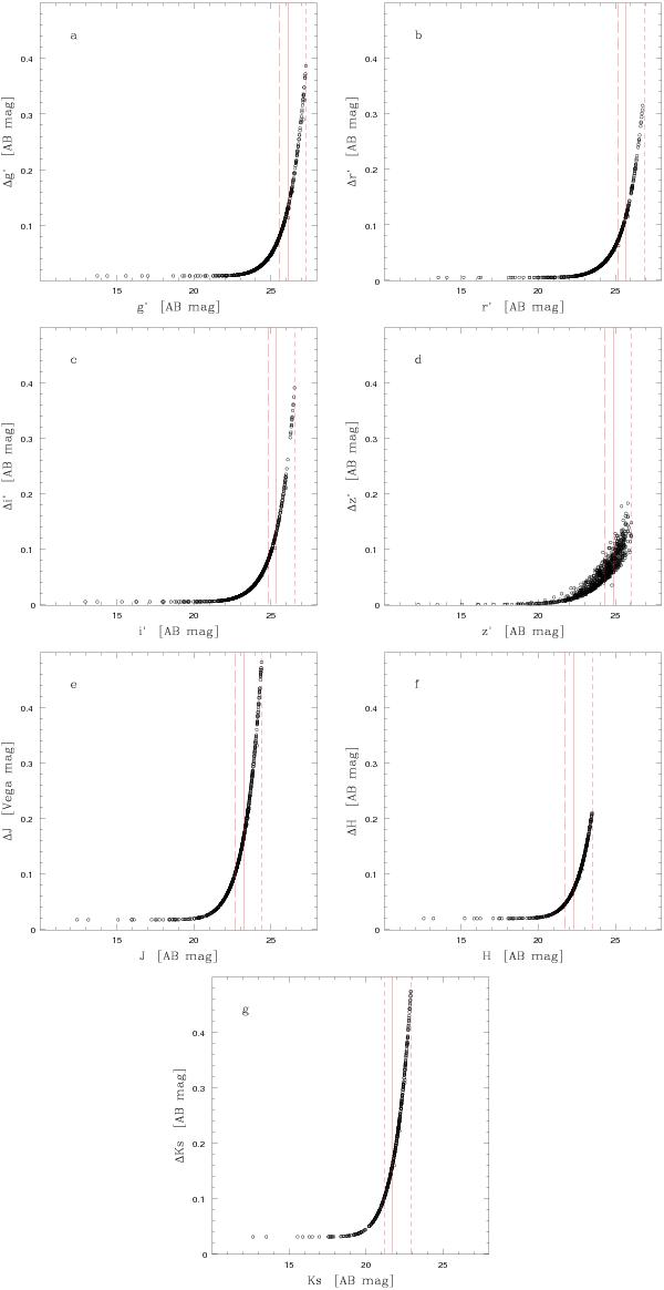
Fig. 7

Uncertainty of the computed total photometry in each of the g′,r′,i′,z′,J,H,Ks broad-bands of GROND as a function of the total magnitude of a source (panels a) − g), respectively). In each panel the short-dashed, solid and long-dashed red lines represent the 1σ, 3σ and 5σ limits, respectively. Only sources brighter than the limiting magnitude in a given band are reproduced.
Current usage metrics show cumulative count of Article Views (full-text article views including HTML views, PDF and ePub downloads, according to the available data) and Abstracts Views on Vision4Press platform.
Data correspond to usage on the plateform after 2015. The current usage metrics is available 48-96 hours after online publication and is updated daily on week days.
Initial download of the metrics may take a while.