Free Access
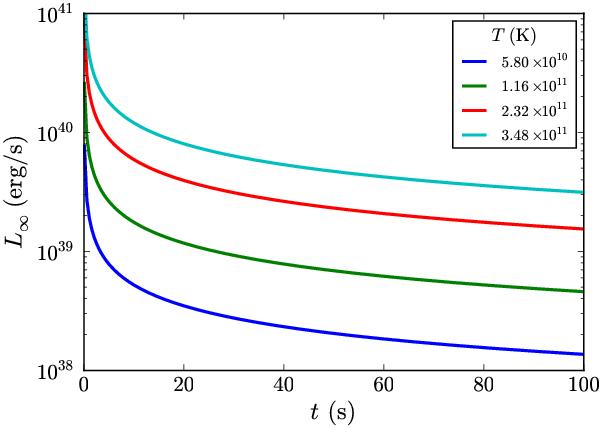
Fig. 2

Luminosity of a hot nascent neutron star as observed at infinity given by Eq. (1) during the initial 100 s (Duncan et al. 1986), with the initial temperatures indicated. The neutron star is assumed to have a mass of 1.4 M⊙ and a radius of 13 km.
Current usage metrics show cumulative count of Article Views (full-text article views including HTML views, PDF and ePub downloads, according to the available data) and Abstracts Views on Vision4Press platform.
Data correspond to usage on the plateform after 2015. The current usage metrics is available 48-96 hours after online publication and is updated daily on week days.
Initial download of the metrics may take a while.