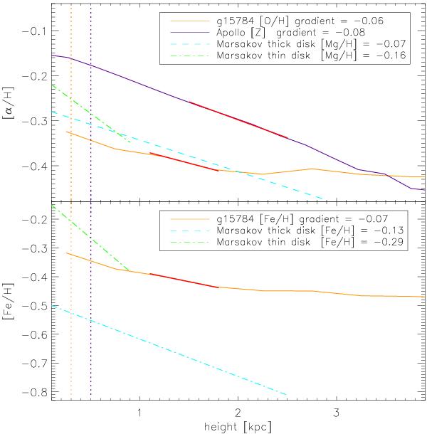
Fig. 3

The vertical gradients of disk stars in the simulations. The top panel shows the [Z] vertical gradient of Apollo (purple, grad = −0.08) with the [O/H] gradient of g15784 (orange, grad = − 0.06) and observational data from Marsakov & Borkova (2005, 2006) of [Mg/H] gradients in the thin (blue, grad = − 0.16) and thick (green, grad = −0.07) disk of the Milky Way. The lower panel shows the [Fe/H] gradients of the Marsakov & Borkova (2005, 2006) thin (grad = −0.29) and thick (grad = −0.13) disk data along with the g15784 (grad = −0.07) [Fe/H] gradient. Overplotted vertically are the softening length of the MUGS (orange) and the minimum grid size of the RaDES (purple) simulations. The bold red lines show the region used to calculate the gradient.
Current usage metrics show cumulative count of Article Views (full-text article views including HTML views, PDF and ePub downloads, according to the available data) and Abstracts Views on Vision4Press platform.
Data correspond to usage on the plateform after 2015. The current usage metrics is available 48-96 hours after online publication and is updated daily on week days.
Initial download of the metrics may take a while.