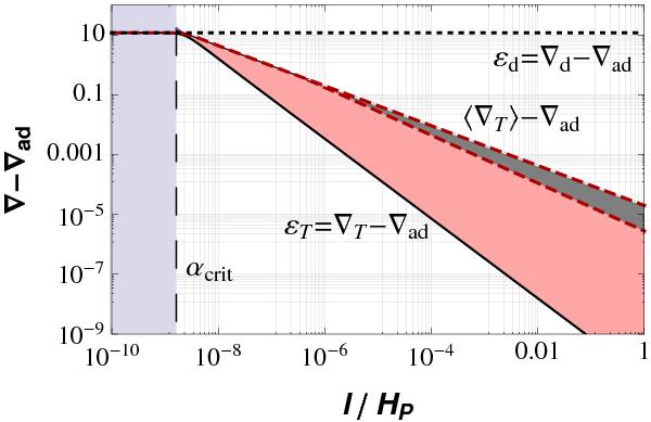
Fig. 3

Range of mean super adiabaticity ( ⟨ ∇T ⟩ − ∇ad) of a semiconvective medium as a function of the mixing length parameter α = l/HP, for (gray area between the red dashed curves; Φ0 = 3 × 1033; εd = 10; CL = 1). For comparison, the super adiabaticity in a convective (pale red area; same parameters) and in a diffusive cell (dotted curve) are also shown. As expected a smooth transition between the convective and diffusive regimes occurs near αcrit (see Appendix A; here αcrit ≈ 2 × 10-9).
Current usage metrics show cumulative count of Article Views (full-text article views including HTML views, PDF and ePub downloads, according to the available data) and Abstracts Views on Vision4Press platform.
Data correspond to usage on the plateform after 2015. The current usage metrics is available 48-96 hours after online publication and is updated daily on week days.
Initial download of the metrics may take a while.