Free Access
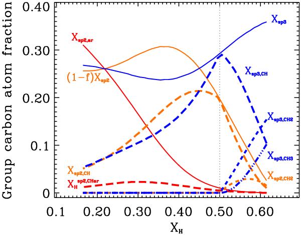
Fig. 5

As for Fig. 4 with the aromatic (, red dashed), olefinic (
,
, orange dashed) and aliphatic (
,
, blue dashed;
, blue triple dot-dashed) CHn fractions also shown, where in most cases the H subscripts have been dropped and the superscripts written as subscripts for clarity.
Current usage metrics show cumulative count of Article Views (full-text article views including HTML views, PDF and ePub downloads, according to the available data) and Abstracts Views on Vision4Press platform.
Data correspond to usage on the plateform after 2015. The current usage metrics is available 48-96 hours after online publication and is updated daily on week days.
Initial download of the metrics may take a while.