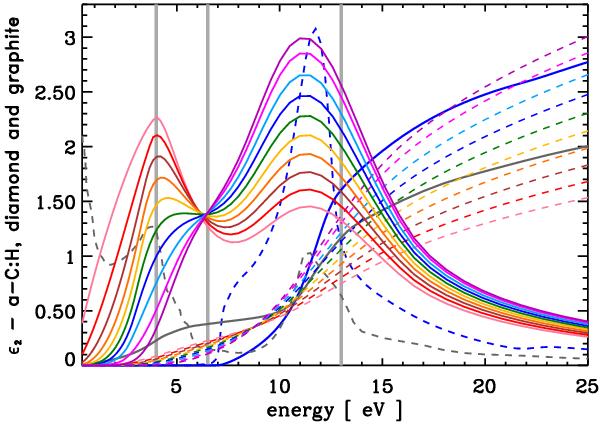
Fig. 13

As per Fig. 12, the imaginary part of the dielectric function, ϵ2, for the a-C(:H) optEC(s) model for comparison with Fig. 29 of Robertson (1986). Note that the diamond (short-dashed blue) and graphite (short-dashed grey) ϵ2 data have been scaled down here for comparison. The dashed lines rising towards high energies show the running integrals for neff (Eq. (30)) for the optEC(s) data and also for diamond (blue) and graphite (dark grey).
Current usage metrics show cumulative count of Article Views (full-text article views including HTML views, PDF and ePub downloads, according to the available data) and Abstracts Views on Vision4Press platform.
Data correspond to usage on the plateform after 2015. The current usage metrics is available 48-96 hours after online publication and is updated daily on week days.
Initial download of the metrics may take a while.