Fig. 5

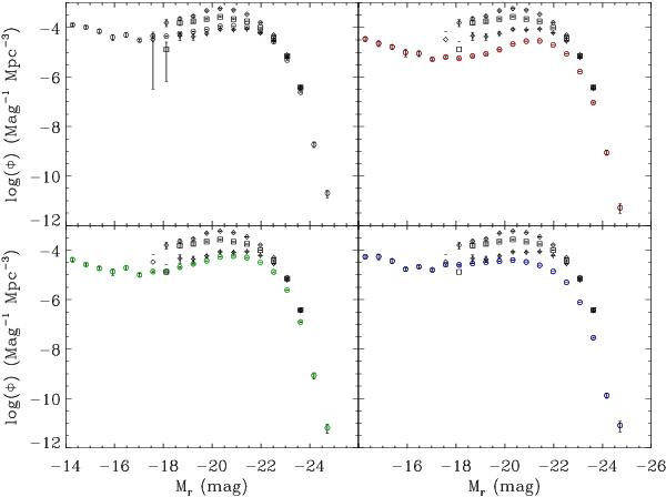
Luminosity functions of our elliptical galaxies (top left, black open circles), EASK0 (top right, red open circles), EASK2 (bottom left, green open circles), and EASK3 (bottom right, blue open circles). In all panels, we provide as reference the luminosity functions of E (open stars), E+S0 (open squares), and E+S0+Sa (open diamonds) visually classified by Nair & Abraham (2010). The errors in the luminosity functions were computed by bootstraping.
Current usage metrics show cumulative count of Article Views (full-text article views including HTML views, PDF and ePub downloads, according to the available data) and Abstracts Views on Vision4Press platform.
Data correspond to usage on the plateform after 2015. The current usage metrics is available 48-96 hours after online publication and is updated daily on week days.
Initial download of the metrics may take a while.