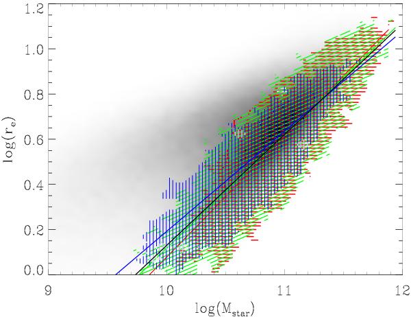
Fig. 7

Effective r-band radius (re) as a function of stellar mass for galaxies in the SDSS DR7 spectroscopic catalog (grey scale). The colored regions show the location of galaxies with Pi(EASK0) > 0.5 (red), Pi(EASK2) > 0.5 (green), and Pi(EASK3) > 0.5 (blue). The solid lines show the best linear weighted fits to the relations (see Fig. 6 for the color code of these lines).
Current usage metrics show cumulative count of Article Views (full-text article views including HTML views, PDF and ePub downloads, according to the available data) and Abstracts Views on Vision4Press platform.
Data correspond to usage on the plateform after 2015. The current usage metrics is available 48-96 hours after online publication and is updated daily on week days.
Initial download of the metrics may take a while.