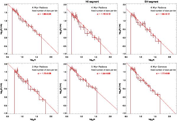
Fig. 13

Upper panels: mass functions for the 4 Myr MS-Padova isochrone using all stars (left), or only stars located in the north-east- (middle), or south-west-segment (right) of the proper motion diagram (Fig. 6). Lower panels: resulting mass function if stellar masses are derived from a 3 or 5 Myr Padova MS-isochrone (left and middle) or 4 Myr Geneva isochrone (right). For all shown mass functions the stars were distributed in 12 bins of variable width with equal numbers of stars per bin. As in Fig. 12, the Wolf-Rayet stars were removed and only stars above the ambiguity region in the CMD due to the PMS are included. The resulting minimum masses are 5.5, 4.6, 4.0, and 4.5 M⊙, for the 3, 4, 5 Myr Padova and the 4 Myr Geneva isochrone, respectively.
Current usage metrics show cumulative count of Article Views (full-text article views including HTML views, PDF and ePub downloads, according to the available data) and Abstracts Views on Vision4Press platform.
Data correspond to usage on the plateform after 2015. The current usage metrics is available 48-96 hours after online publication and is updated daily on week days.
Initial download of the metrics may take a while.