Free Access
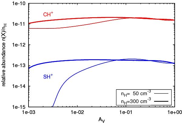
Fig. 9

Predictions of two PDR models for gas densities nH = 50 and 300 cm-3. The CH+ (in red) and SH+ (in blue) relative abundances are displayed as functions of the shielding AV from the interstellar radiation field for a slab of gas illuminated on one side only.
Current usage metrics show cumulative count of Article Views (full-text article views including HTML views, PDF and ePub downloads, according to the available data) and Abstracts Views on Vision4Press platform.
Data correspond to usage on the plateform after 2015. The current usage metrics is available 48-96 hours after online publication and is updated daily on week days.
Initial download of the metrics may take a while.