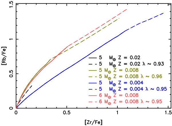
Fig. 5

Resulting [Rb/Fe] and [Zr/Fe] for low-metallicity intermediate-mass AGB models indicated by the labels. For comparison we included the 5 M⊙Z = 0.02 model. As in Fig. 3 the solid part of the lines are equivalent to λ = 0 during the extended evolution. The dashed lines are the result of the synthetic extension when the TDU efficiency is chosen to remain constant. The observed [Rb/Fe] in five Rb-rich stars in the Magellanic Clouds ranges from + 1.7 dex to + 5.0 dex, outside of the range of the figure. (This figure is available in color in the electronic form.)
Current usage metrics show cumulative count of Article Views (full-text article views including HTML views, PDF and ePub downloads, according to the available data) and Abstracts Views on Vision4Press platform.
Data correspond to usage on the plateform after 2015. The current usage metrics is available 48-96 hours after online publication and is updated daily on week days.
Initial download of the metrics may take a while.