Free Access

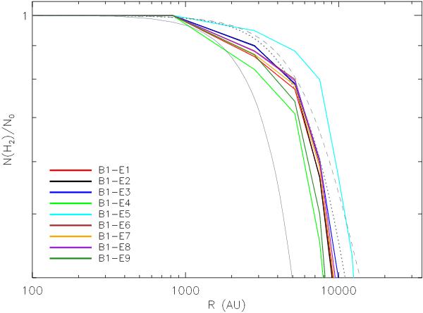
Fig. 5

thumbnail

Normalized column density profiles for sources in B1-E, assuming a distance of 235 pc. Column density was determined from azimuthally-averaged annuli (see Fig. 4). Furthermore, the LOS material was estimated for each source and subtracted from the azimuthal average. The grey solid, dotted, and dashed curves are the same as for Fig. 4.

Current usage metrics show cumulative count of Article Views (full-text article views including HTML views, PDF and ePub downloads, according to the available data) and Abstracts Views on Vision4Press platform.

Data correspond to usage on the plateform after 2015. The current usage metrics is available 48-96 hours after online publication and is updated daily on week days.

Initial download of the metrics may take a while.