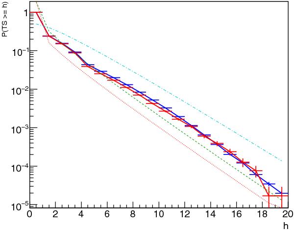
Fig. 10

Comparison between different radii of analysis. The histograms are the p-value distributions for the Cygnus field when the null hypothesis for Cygnus X-3 is true with the following parameters: Tss = 4, tlcl = 0, flux and position of Cygnus X-3 left free, ICL rejection applied. Red histogram:radius of analysis = 10°; blue histogram: radius of analysis = 5°. The red dotted line is the theoretical distribution, the green dashed line is the
theoretical distribution, and the cyan dotted-dashed line is the
distribution.
Current usage metrics show cumulative count of Article Views (full-text article views including HTML views, PDF and ePub downloads, according to the available data) and Abstracts Views on Vision4Press platform.
Data correspond to usage on the plateform after 2015. The current usage metrics is available 48-96 hours after online publication and is updated daily on week days.
Initial download of the metrics may take a while.