Fig. 6

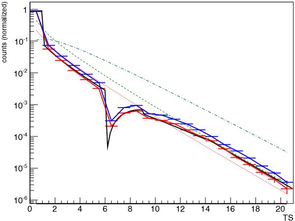
The effect of steady sources in the ensemble of models. The blue line is the PDF for Cygnus field when the null hypothesis for Cygnus X-3 is true, and the red line is the PDF for an empty Galactic field when the null hypothesis is true, with the parameters Tss = 4, tlcl = 5.99147, when the flux and position of source in the alternative hypothesis are allowed to vary, but ggal and giso parameters are fixed, ICL criterion. Black line is the best-fit function described in Eq. (5). The red dotted line is the theoretical distribution, the green dashed line is the
theoretical distribution, the cyan dotted-dashed line is the
distribution.
Current usage metrics show cumulative count of Article Views (full-text article views including HTML views, PDF and ePub downloads, according to the available data) and Abstracts Views on Vision4Press platform.
Data correspond to usage on the plateform after 2015. The current usage metrics is available 48-96 hours after online publication and is updated daily on week days.
Initial download of the metrics may take a while.