Free Access

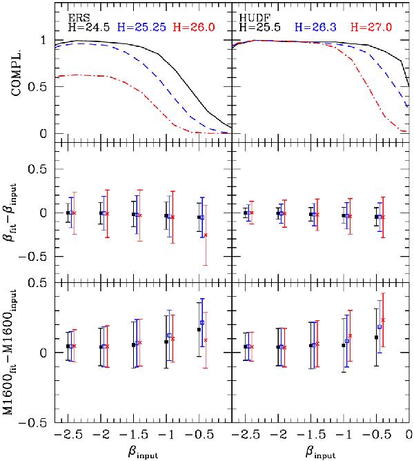
Fig. 7

thumbnail

From top to bottom: detection completeness and difference between output and input β and M1600 from our ERS (left) and HUDF (right) mock catalogues. All quantities are computed for objects in three observed magnitude bins centred at: H = 24.5 (ERS) and H = 25.5 (HUDF) (black continuous lines and filled squares); H = 25.25 (ERS) and H = 26.3 (HUDF) (dashed blue lines and open squares); H = 26.0 (ERS) and H = 27.0 (HUDF) (red dot-dashed lines and crosses).

Current usage metrics show cumulative count of Article Views (full-text article views including HTML views, PDF and ePub downloads, according to the available data) and Abstracts Views on Vision4Press platform.

Data correspond to usage on the plateform after 2015. The current usage metrics is available 48-96 hours after online publication and is updated daily on week days.

Initial download of the metrics may take a while.