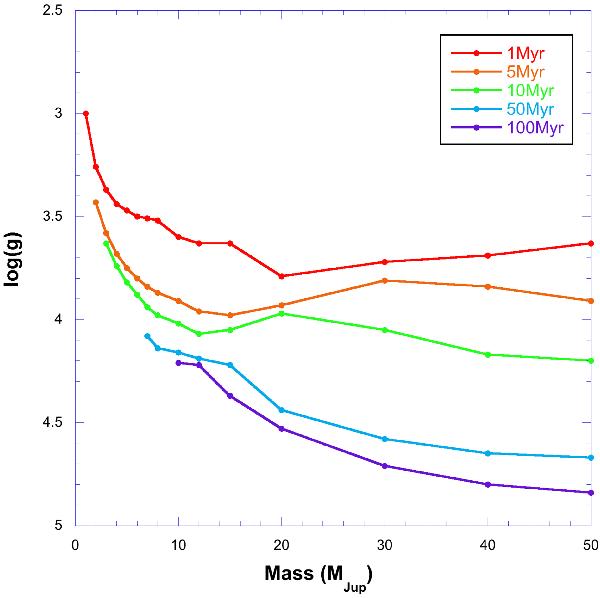
Fig. 2

The evolution in surface gravity over the 1–100 Myr age range for objects with masses of ~ 1–50 MJup. The values are taken from the DUSTY00 models (Chabrier et al. 2000) and show the systematic increase in log (g) over time as the objects contract. These tracks are used to determine the restricted range of surface gravity to allow in model fits to our young targets.
Current usage metrics show cumulative count of Article Views (full-text article views including HTML views, PDF and ePub downloads, according to the available data) and Abstracts Views on Vision4Press platform.
Data correspond to usage on the plateform after 2015. The current usage metrics is available 48-96 hours after online publication and is updated daily on week days.
Initial download of the metrics may take a while.