Fig. 13

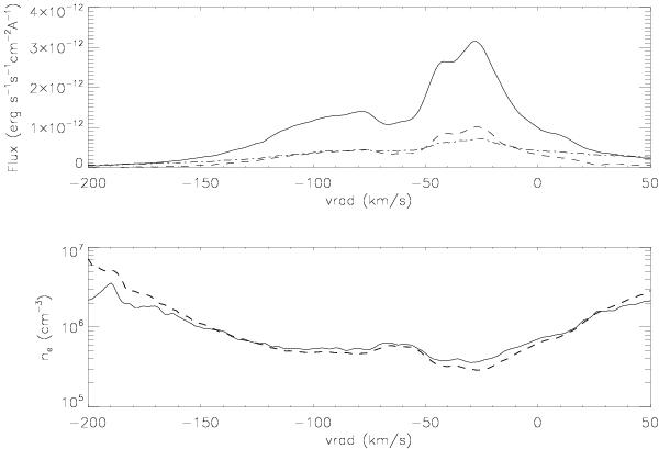
Top: the three [N II] profiles for JD 55 357, [N II] 5754 Å (dot-dash), 6546 Å (dash), 6583 Å (solid). Bottom: [N II] nebular diagnostic giving the electron density (ne) as a function of radial velocity for Te = 104 K for JD 55 357 (solid) and JD 55 369 (dash). The flux was dereddened using E(B − V) = 0.5 and the underlying continuum and Hα emission wing were subtracted (see text).
Current usage metrics show cumulative count of Article Views (full-text article views including HTML views, PDF and ePub downloads, according to the available data) and Abstracts Views on Vision4Press platform.
Data correspond to usage on the plateform after 2015. The current usage metrics is available 48-96 hours after online publication and is updated daily on week days.
Initial download of the metrics may take a while.