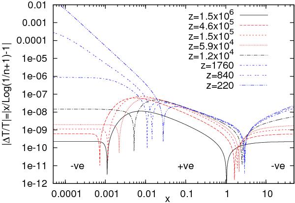
Fig. 6

Evolution of spectral distortions in CMB in ΛCDM cosmology. The values of total Compton parameter y = y(100,z) for different curves are (z = 1.5 × 106, y = 109), (z = 4.6 × 105, y = 10), (z = 1.5 × 105, y = 1), (z = 5.9 × 104, y = 0.16), (z = 1.2 × 104, y = 0.005), (z = 1760,y = 3 × 10-5), (z = 840, y = 1.8 × 10-8) and (z = 220, y = 1.2 × 10-10). Reference spectrum is the blackbody CMB spectrum at z = 107. At low frequencies the spectrum is dominated by double Compton and bremsstrahlung which maintain Planck spectrum at the electron temperature. The zero point at low frequencies moves to the right at low redshifts because bremsstrahlung dominates over the Compton scattering at higher and higher frequencies and absorbs photons, although both are slower than the expansion rate.
Current usage metrics show cumulative count of Article Views (full-text article views including HTML views, PDF and ePub downloads, according to the available data) and Abstracts Views on Vision4Press platform.
Data correspond to usage on the plateform after 2015. The current usage metrics is available 48-96 hours after online publication and is updated daily on week days.
Initial download of the metrics may take a while.