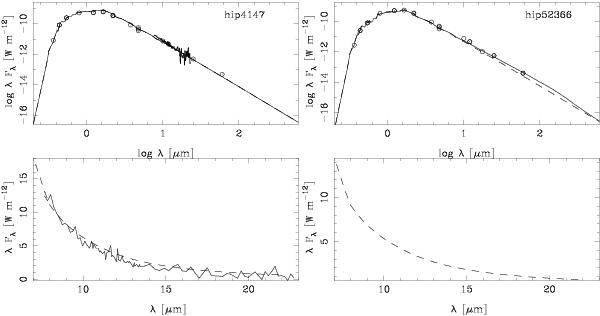
Fig. 2

Example fits to the SED (top panel) and IRAS LRS spectra (lower panel). In the top panel, the solid line indicates the best fit, the dashed line the model without mass loss. For HIP 4147, the best-fit model is the model without mass loss so that the two lines are over-plotted. The observed photometry is plotted by the circles, and error bars are also plotted, but are typically much smaller than the symbol size. In the lower panel, the best-fit model is indicated by the dashed line, and the LRS spectrum by the solid line. Sometimes no LRS spectrum is available, as for HIP 52366. The complete figure is available in Appendix A.
Current usage metrics show cumulative count of Article Views (full-text article views including HTML views, PDF and ePub downloads, according to the available data) and Abstracts Views on Vision4Press platform.
Data correspond to usage on the plateform after 2015. The current usage metrics is available 48-96 hours after online publication and is updated daily on week days.
Initial download of the metrics may take a while.