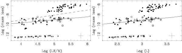
Fig. 4

As Fig. 3, but now for: this work (filled triangles, and the stars without excess as crosses), other data based on SED modelling: 47 Tuc (filled squares), ω Cen (filled circles), NGC 362 (filled stars), and modelling of chromospheric lines: M13 (open stars), M15 (open diamonds), M92 (open triangles), and ω Cen (open circles). The fit is to the present sample and the mass-loss rates from modelling the chromospheric lines, while the dashed line represents Reimers law with η = 0.35. The cross in the lower right corner indicates a typical error bar.
Current usage metrics show cumulative count of Article Views (full-text article views including HTML views, PDF and ePub downloads, according to the available data) and Abstracts Views on Vision4Press platform.
Data correspond to usage on the plateform after 2015. The current usage metrics is available 48-96 hours after online publication and is updated daily on week days.
Initial download of the metrics may take a while.