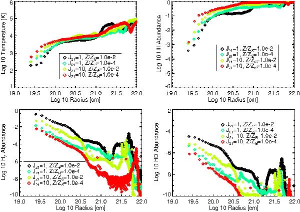
Fig. 3

Average radial profiles for different background UV fields and dust-to-gas ratios at z = 5.4. The upper left panel of this figure shows the temperature radial profile of the halo. The HII abundance radial profile for the halo is depicted in the upper right panel. H2 abundance is shown in the lower left panel. The lower right panel shows the HD radial profile of the halo. The escape fraction of ionizing radiation is 10% for all the panels shown in the figure.
Current usage metrics show cumulative count of Article Views (full-text article views including HTML views, PDF and ePub downloads, according to the available data) and Abstracts Views on Vision4Press platform.
Data correspond to usage on the plateform after 2015. The current usage metrics is available 48-96 hours after online publication and is updated daily on week days.
Initial download of the metrics may take a while.