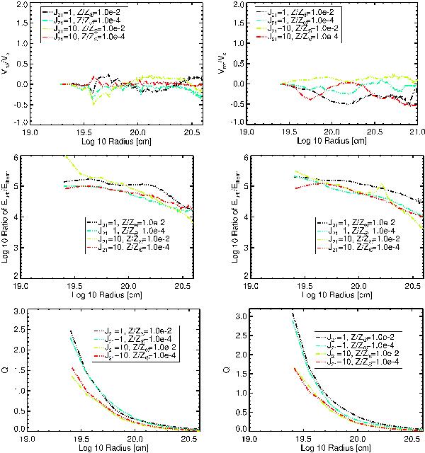
Fig. 5

Average radial profiles of disks for different background UV fields and dust-to-gas ratios at z = 5.4. The left panels of this figure show radial profiles for disk 1 and the right panels show the radial profiles for disk 2. The top two panels show the ratio of rotational to orbital velocity for the disks. The middle panels show the ratio of turbulent to thermal energy for each disk. The Toomre parameter Q for each disk is depicted in the bottom panel. The escape fraction of ionizing radiation is 10% for all panels.
Current usage metrics show cumulative count of Article Views (full-text article views including HTML views, PDF and ePub downloads, according to the available data) and Abstracts Views on Vision4Press platform.
Data correspond to usage on the plateform after 2015. The current usage metrics is available 48-96 hours after online publication and is updated daily on week days.
Initial download of the metrics may take a while.