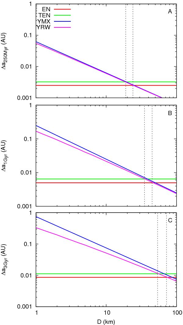
Fig. 10

Comparison of the semi-major axis diffusion induced by the close encounters and by the Yarkovsky effect after 250 Myr (A), 1 Gyr (B) and 3 Gyr (C). EN is the diffusion caused by close encounters with the 11 asteroids considered in our simulations. TEN is the extrapolation we performed for the entire main belt ( × 1.3). YMX stands for the maximum diurnal Yarkovsky effect. YRW stands for the Yarkovsky effect with reorientations (random walk).
Current usage metrics show cumulative count of Article Views (full-text article views including HTML views, PDF and ePub downloads, according to the available data) and Abstracts Views on Vision4Press platform.
Data correspond to usage on the plateform after 2015. The current usage metrics is available 48-96 hours after online publication and is updated daily on week days.
Initial download of the metrics may take a while.