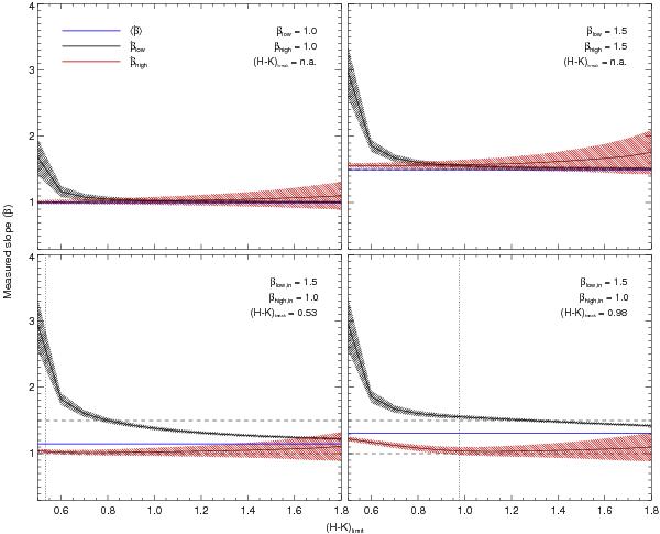
Fig. 17

and
as a function of (H − K)limit for 5000 realizations of the synthetic dataset 3. The solid lines show the median curves, the shaded regions represent the 1 − σ scatter from the 5000 realizations, and the dashed lines mark the input values βlow and βhigh of the slopes. Upper panels:
and
for a single-slope reddening vector with slopes 1.0 (left) and 1.5 (right). Bottom panels: same distributions but for broken extinction laws, with slopes of 1.5 at low-extinction and 1.0 and high-extinction, and breaks located at AK = 0.4 mag (left) and AK = 1.5 mag (right). The blue line indicates the average value of the slope if LinES is applied to the whole range of AV.
Current usage metrics show cumulative count of Article Views (full-text article views including HTML views, PDF and ePub downloads, according to the available data) and Abstracts Views on Vision4Press platform.
Data correspond to usage on the plateform after 2015. The current usage metrics is available 48-96 hours after online publication and is updated daily on week days.
Initial download of the metrics may take a while.