Free Access
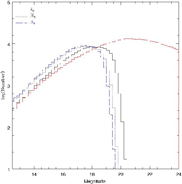
Fig. 3

Log number vs. linear magnitude distribution of sources in each photometric band in 0.2 mag bins. The completeness level of each band has been inferred and is discussed in the text – Sect. 2.
Current usage metrics show cumulative count of Article Views (full-text article views including HTML views, PDF and ePub downloads, according to the available data) and Abstracts Views on Vision4Press platform.
Data correspond to usage on the plateform after 2015. The current usage metrics is available 48-96 hours after online publication and is updated daily on week days.
Initial download of the metrics may take a while.