Free Access
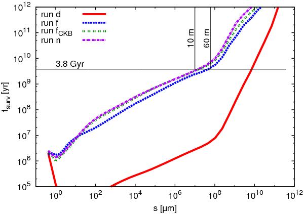
Fig. 3

Lifetimes of dust grains and parent bodies for the same ACE runs and time instants as in Fig. 1. Particles below the 3.8 Gyr line are in a collisional equilibrium after the LHB. A steep rise in the lifetime at s ~ 300 m corresponds to the strength-gravity transition of the critical disruption energy.
Current usage metrics show cumulative count of Article Views (full-text article views including HTML views, PDF and ePub downloads, according to the available data) and Abstracts Views on Vision4Press platform.
Data correspond to usage on the plateform after 2015. The current usage metrics is available 48-96 hours after online publication and is updated daily on week days.
Initial download of the metrics may take a while.