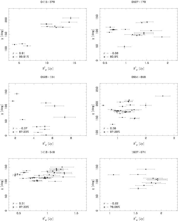
Fig. 5

Polarization angle χ vs. rescaled flux density . Please note the different axis scales. Polarization angles are restricted to the interval [0°,180°] ; for 0415+379 and 0954+658 these intervals have been shifted to resolve 0°/180° ambiguities. Errorbars denote 1σ errors. We quote correlation coefficients r and significance levels s like in Fig. 3.
Current usage metrics show cumulative count of Article Views (full-text article views including HTML views, PDF and ePub downloads, according to the available data) and Abstracts Views on Vision4Press platform.
Data correspond to usage on the plateform after 2015. The current usage metrics is available 48-96 hours after online publication and is updated daily on week days.
Initial download of the metrics may take a while.