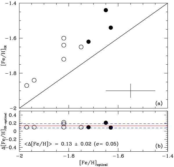
Fig. 10

a) Comparison of spectroscopic metallicities obtained in the infrared (this work) versus in the optical (Marino et al. 2009) for s-poor (open circles) and s-rich (filled circles) stars. Typical uncertainties are shown.b) [Fe/H] residuals (ours minus optical values), where the dashed lines represent 1σ scatter over the mean value found (full line).
Current usage metrics show cumulative count of Article Views (full-text article views including HTML views, PDF and ePub downloads, according to the available data) and Abstracts Views on Vision4Press platform.
Data correspond to usage on the plateform after 2015. The current usage metrics is available 48-96 hours after online publication and is updated daily on week days.
Initial download of the metrics may take a while.