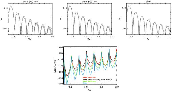
Fig. 6

Top panels: visibility curves (vis) from the Procyon simulation in the filters computed in this work. The visibilities are computed for 36 different azimuth angles 5° apart (thin gray lines). The dotted line is an uniform disk scaled to match the same radius, i.e. the first null in visibility curve. The visibilities are displayed only longward of the first null visibility point. A logarithmic scale is used on the y-axis. Bottom panel: visibility fluctuations () with respect to the visibility average value (
) as a function of spatial frequencies for all the considered filters.
Current usage metrics show cumulative count of Article Views (full-text article views including HTML views, PDF and ePub downloads, according to the available data) and Abstracts Views on Vision4Press platform.
Data correspond to usage on the plateform after 2015. The current usage metrics is available 48-96 hours after online publication and is updated daily on week days.
Initial download of the metrics may take a while.