Free Access
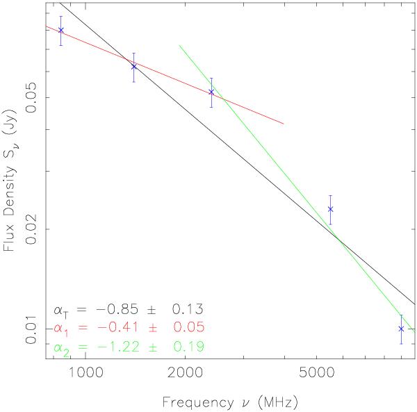
Fig. 6

Radio-continuum spectrum of SNR J0530–7007. The black line (αT) is the overall radio-continuum spectra, the red line (α1) between 36 cm and 13 cm, and the green line (α2) between 13 cm and 3 cm. Note log − log scale.
Current usage metrics show cumulative count of Article Views (full-text article views including HTML views, PDF and ePub downloads, according to the available data) and Abstracts Views on Vision4Press platform.
Data correspond to usage on the plateform after 2015. The current usage metrics is available 48-96 hours after online publication and is updated daily on week days.
Initial download of the metrics may take a while.