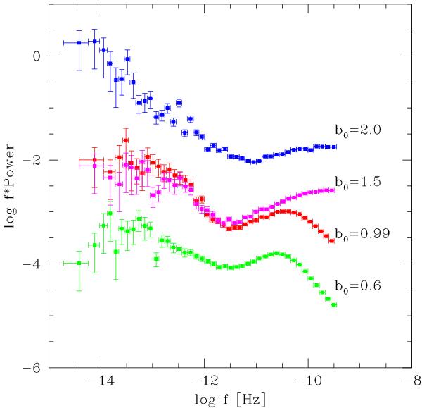
Fig. 2

Power density spectra of the luminosity fluctuations for stable disks in which the viscous stress scales only with the gas pressure. The models have flickering parameters of b0 = 0.6, b0 = 0.99, b0 = 1.5 and b0 = 2.0 shown with green, red, magenta, and blue points, respectively. The mean viscosity parameter α0 = 0.1, the mean accretion rate is ṁ = 0.33, and the black hole mass is 3 × 108 M⊙.
Current usage metrics show cumulative count of Article Views (full-text article views including HTML views, PDF and ePub downloads, according to the available data) and Abstracts Views on Vision4Press platform.
Data correspond to usage on the plateform after 2015. The current usage metrics is available 48-96 hours after online publication and is updated daily on week days.
Initial download of the metrics may take a while.