Free Access

Fig. 13

thumbnail

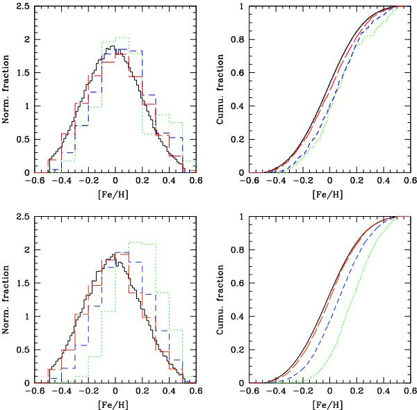
Histogram and cumulative distribution of the metallicity of close-in synthetic planets. The two upper panels are for the nominal population (fI = 0.001), the lower two for a population with a faster type I migration (fI = 0.1). In all panels, green lines stand for massive planets (M > 100   M), the blue lines for planets with 100 > M/M > 6   M, and red lines are for low-mass planets (M/M < 6), all inside the feeding limit, i.e. inside about 0.1 AU. The black lines serves for comparison and shows the metallicity distribution of all synthetic planets (at all semimajor axes) and thus simply the distribution from which we draw the initial conditions.

Current usage metrics show cumulative count of Article Views (full-text article views including HTML views, PDF and ePub downloads, according to the available data) and Abstracts Views on Vision4Press platform.

Data correspond to usage on the plateform after 2015. The current usage metrics is available 48-96 hours after online publication and is updated daily on week days.

Initial download of the metrics may take a while.