Free Access

Fig. 14

thumbnail

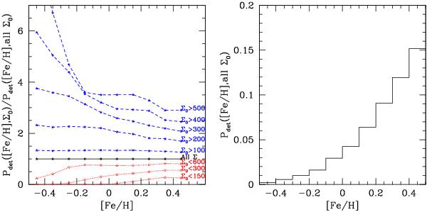
Left panel: detection probability as a function of metallicity and gas surface density. The plot shows the relative detection probability as a function of [Fe/H] for disks that have Σ0 meeting the condition indicated in the plot, normalized by the Pdet([Fe/H], all Σ0) i.e. the detection probability as a function of [Fe/H] alone, including all Σ0. This quantity is plotted in the right panel. A curve in the left panel that increases towards the low [Fe/H] (blue lines) therefore means a less strong metallicity effect, while a curve that decreases towards the low [Fe/H] (red lines) indicates a stronger metallicity effect. The instrumental accuracy is 10 m/s.

Current usage metrics show cumulative count of Article Views (full-text article views including HTML views, PDF and ePub downloads, according to the available data) and Abstracts Views on Vision4Press platform.

Data correspond to usage on the plateform after 2015. The current usage metrics is available 48-96 hours after online publication and is updated daily on week days.

Initial download of the metrics may take a while.