Free Access

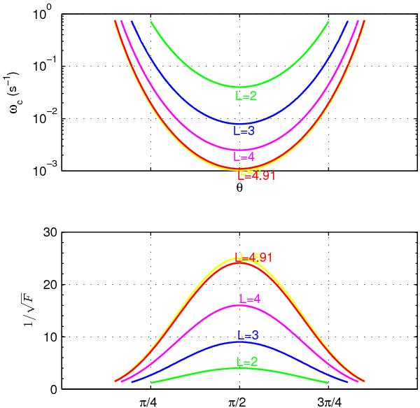
Fig. 2

thumbnail

The cut-off frequency ωc (with B0 = 100 Gauss, a = 0.011   Rs, and n = 109   cm-3), and the adiabatic growth/decay factor as a function of θ for various L values (ρ ≡ const. along the loop) for the transverse velocity oscillation.

Current usage metrics show cumulative count of Article Views (full-text article views including HTML views, PDF and ePub downloads, according to the available data) and Abstracts Views on Vision4Press platform.

Data correspond to usage on the plateform after 2015. The current usage metrics is available 48-96 hours after online publication and is updated daily on week days.

Initial download of the metrics may take a while.