Free Access

Fig. 10

thumbnail

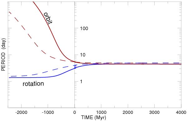
Tidal evolution of the planetary rotation and orbital periods with the estiated value of the current eccentricity (e = 0.33). The dashed line shows the evolution coresponding to a smaller value (lower bound of the interval of confidence) of current eccentricity (e = 0.23).

Current usage metrics show cumulative count of Article Views (full-text article views including HTML views, PDF and ePub downloads, according to the available data) and Abstracts Views on Vision4Press platform.

Data correspond to usage on the plateform after 2015. The current usage metrics is available 48-96 hours after online publication and is updated daily on week days.

Initial download of the metrics may take a while.